RV 減速機因具有精度高、剛度大、耐過載及結構緊湊等優點而用于工業機器人關節。RV 減速機二級傳動的擺線齒輪置于輸出行星架與輸入行星架之間,其齒面在實際工況中承受較大的沖擊載荷,齒面強度及耐磨性對 RV 減速機的壽命、精度保持及耐久性有直接的影響。
擺線齒輪的安裝精度、有效受載區域、材料和熱處理都影響著擺線齒輪的齒面壽命。針齒與擺線齒面的接觸區域在交變載荷的作用下會產生復雜的耦合變形和應力集中。RV 減速機的主軸承在外部載荷下會產生傾斜角,而傾斜角的產生在 一定程度上會改變擺線齒面與針齒的相對位置,產生齒面偏載。
目前,國內外相關學者對擺線齒輪的研究大多集中在動態性能方面,擺線齒輪齒面接觸應力的研究也僅僅局限在周向,目前有關擺線齒輪齒寬方向上接觸應力分布的理論研究還未見相關報道。經典赫茲理論是最早的接觸應力求解的理論,它在接觸分析中占統治地位,但是無法解釋邊緣接觸現象;赫茲線接觸問題的提出是基于無限長線接觸的假設,但針齒在接觸中長度一般大于齒面的寬度,當針齒的母線不是直線且針齒相對于擺線齒面產生安裝誤差時,問題將變得復雜,為非赫茲接觸問題。
本文采用數值分析方法在計及彈性變形和側隙求解嚙合區域的基礎上,實現計算指定載荷下和偏斜角度下擺線齒輪理想狀態和傾斜安裝誤差的接觸區域寬度及接觸應力分布,可為 RV 減速機擺線齒輪的設計及強度評價提供理論依據。
一、減速機結構及擺線齒輪齒面受力
RV減速機結構
如圖1所示,輸入軸與行星齒輪嚙合傳遞載荷,行星齒輪與曲軸通過花鍵傳遞載荷,擺線齒輪通過滾針軸承鉸接在曲軸上,并與針齒圈上的針齒嚙合,曲軸通過圓錐滾子軸承支撐在行星架上,針齒圈通過主軸承與行星架支撐。

擺線齒輪齒廓方程及曲率半徑
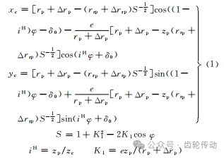
根據擺線齒輪的嚙合及成形原理,擺線齒輪有移距修形、等距修形和轉角修形三種修形方式。含有這三種修形的齒廓方程為

式中,zp 為針齒齒數;zc 為擺線齒輪齒數;rp 為針齒分布圓半徑;rrp 為針齒半徑;e為偏心量;φ為轉臂相對針齒的轉角;δ0 為轉角修形量;Δrp 為移距修形量;Δrrp 為等距修形量。
根據微積分公式,齒廓上任一點的曲率為
式中,x′φ為xc 對轉角φ的一階求導;y′φ為yc對轉角φ的一階求導;x″φ為xc對轉角φ 的二階求導;y″φ為yc對轉角 φ 的二階求導。
擺線齒廓修形后的齒廓曲率半徑為

擺線齒輪齒面受力分析
如圖2所示,擺線齒輪在扭矩T的作用下,第 i個針齒所受的力為Fi,嚙合點公法線方向上的彈性變形量為δi,設受力最大值為Fmax,對應的嚙合點變形量為δmax。第i個針齒相對轉臂的轉角為φi,令初始側隙為 Δs(φi),則

由于最大受力點不一定剛好落在φ=arccosK1 處,因此,在不考慮非線性因素的情況下,可推導出各個嚙合處公法線方向上的彈性變形量δi 與最大變形量δmax 之間的關系為
經過修形后,擺線齒輪與針齒之間產生間隙,其法向方向的初始側隙 Δs(φi)為

當變形量大于初始側隙時擺線齒輪齒面便與針齒接觸。初始側隙小于變形量的區域便為齒面嚙合區域。設初始接觸針齒號為 m,最后接觸的齒號為n,則由平衡方程可得

式中,li 為第i個齒嚙合點的公法線到擺線齒輪中心的距離;r′c為擺線齒輪的節圓半徑。
由于針齒埋在齒槽中,其針齒的彎曲變形可以忽略不計,因此,最大變形δmax 與最大接觸力 Fmax 之間的關系可表示為
式中,ρ0 為φ=arccosK1 處的齒廓曲率半徑;μ為材料泊松比;E 為彈性模量;b為擺線齒輪齒寬。
聯立上述方程便可求解出嚙合區域內對應齒的受力Fi。
二、擺線齒輪齒面接觸問題
擺線齒輪曲率半徑隨著轉角φ 的變化而變化,如圖3所示。

在齒部凹面的位置,其曲率半徑為正;在齒部凸面的位置,其曲率半徑為負。因此,當針齒在凹面與擺線齒輪接觸時,其綜合曲率半徑ρn 可表示為
當針齒在凸面與擺線齒輪接觸時,其綜合曲率半徑ρn 可表示為
三、擺線齒輪齒面接觸應力數值計算
擺線齒輪齒面接觸理論
針齒和擺線齒輪的齒面接觸屬于線接觸問題。如圖4所示,設 M1 和 N1 是距離x=0平面為xa 且在同一平面上的兩個點,它們到接觸線所在平面z=0的距離分別為z1 和z2。

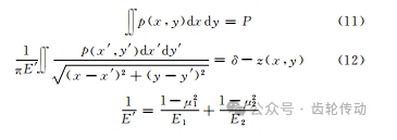
在外力P 的作用下,兩個物體軸向間的距離縮短了彈性趨近量δ,同時在接觸線位置產生了寬度為2a 的接觸區域,接觸區域的最大應力為 p0,其接觸區域應滿足如下方程:

式中,E′為綜合彈性模量;E1、μ1 分別為擺線齒輪的彈性模量和泊松比;E2、μ2 分別為針齒的彈性模量和泊松比;z(x,y)表示接觸區域表面幾何函數。
式(12)等號左側的被積函數為彈性力學中的Boussinesq解,它表示集中力p 作用在半空間表面的一點(x′,y′)上而在點(x,y)處產生的位移。這里隱含了基本假設:接觸區域的尺寸應遠小于接觸體曲率半徑,否則 Boussinesq解不能適用。在一般情況下,式(12)不能找到理論解,只能采用數值計算的方式求解。
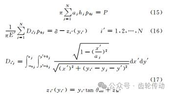
基于對線接觸問題的理解,將齒寬沿著接觸方向劃分為 N 個單元,如圖5所示。設p0j 為單元j中心的最大接觸應力,2aj 為接觸單元的寬度,2hj 為接觸單元的高度,則

根據 Hertz接觸理論,可得
其中,Rj 為單元j的綜合曲率半徑。只要能確定 p0j 沿y 軸的分布,就能確定aj,而求解p0j是一維問題,將式(13)代入式(11)和式(12),可得

式中,Di′j 為柔度系數;yi′ 為在接觸線方向上第i′個單元到起始端的距離;θerr 為安裝誤差角度;zbi′ 為針齒修緣參數函數。
式(15)和式(16)組成了N +1個方程組,在求解過程中方程必須滿足條件p0j ≥0,即可求解出p0j(j=1,2,…,N)和δ。
齒部修緣設計
當坐標建立在針齒中部時,齒部母線由兩條關于y 軸對稱的對數曲線組成,母線中部近似于直線,齒部的兩端曲率變化快。對數曲線滿足以下方程:
式中,F 為針齒受到的載荷;l 為針齒寬度;kb 為偏載系數。
擺線齒輪齒寬接觸應力計算流程
綜上所述,將擺線齒輪齒面齒寬接觸應力的計算方法步驟匯總如下,其計算流程如圖6所示。
(1)輸入擺線齒輪基本參數:針齒齒數zp、擺線齒輪齒數zc、針齒分布圓半徑rp、針齒半徑rrp、 偏心量e、移距修形量Δrp、等距修形量Δrrp、擺線齒輪齒寬b、針齒寬度l、沿齒寬方向劃分的單元數 N、擺線齒輪彈性模量E1 及泊松比μ1、針齒彈性模量E2 及泊松比μ2、減速機扭矩T。
(2)初選
計算Fx =(F1 +F2)/2作為初始值。
(3)將Fx 作為Fmax 代入式(8)中計算δmax。
(4)將δmax 代入式(5)中計算接觸點彈性變形量。
(5)計算側隙,判斷嚙合區間,根據式(7)計算Fx2 =Fmax。
(6)判斷Fx2 與Fx 之差的絕對值是否滿足預設精度ε,若滿足,則取Fx2 與Fx 之和的一半作為 Fmax;若不滿足,則令Fx = Fx2,并返回步驟(3)。
(7)將Fmax 代入式(4),計算出Fi。
(8)選擇需要計算的齒號,計算其綜合曲率半徑Rj。
(9)利用
計算aj 及pj 初值。
(10)在齒寬方向上劃分單元hj=0.5b/N,利用δ=0.5a2j/Rj 計算彈性趨近量δ 初值。
(11)計算![]()
(12)根據式(17)計算柔度系數 Di′j。
(13)令最大接觸寬度a0j=aj,最大接觸應力![]()

(14)重新計算![]()
(15)判斷p0j 是否大于零,若是,則執行步驟 (16);若不是,則令p0j =0,aj =0,并返回步驟 (12)。
(16)判斷|aj-a0j|是否小于或等于預設精度ε1,若滿足,則執行步驟(17);如果不滿足,則令 aj =(aj +a0j)/2,并返回步驟(12)。
(17)計算
判斷|P1-P|/ P 是否小于或等于預設精度ε2,如果不滿足,則調整δ,并返回步驟(11)。
四、計算實例
為驗證上述計算方法的可行性,本文采用某型號RV減速機的擺線齒輪進行分析,其參數如表1所示。

本文分析不計及第一級傳動的漸開線齒輪,只分析第二級傳動的擺線齒輪受力。RV 減速機通過行星架上的螺釘連接傳遞扭矩,行星架所受扭矩等于擺線齒輪承受的扭矩,因此,擺線齒輪受到的負載等于行星架受到的負載。
當擺線齒輪承受的負載為412N·m 時,彈性變形曲線與側隙相交的區間為[6.588°,121.819°],如圖7所示,轉化為嚙合有效區間為2號齒到14 號齒。

隨著負載逐漸的增大,嚙合區間范圍逐漸增大,參與齒數隨之增加,參與嚙合的各個齒所受到的力的波動程度也逐漸加劇,其數據如表2所示。

由圖8可以看出,隨著負載逐漸增大,曲線左右兩側的斜率越來越陡,極值點的縱坐標逐步增大,而極值點的橫坐標集中在5號齒,該位置處在擺線齒輪的拐點附近。擺線齒輪拐點所對應的轉角為arccos((1+zpK21)/K1(zp +1)),具體齒號對應的轉角φi 為(i-1)×360°/zp。計算結果如表3所示。由接觸點半徑得知,5號齒非常接近拐點,4號齒次之。

由圖8得知,從齒廓拐點附近開始,越往齒頂的方向,齒部接觸力越小,這是因為此部分接觸齒所承受的負載比例很小。

在同一位置,當負載T1 為412N·m時,擺線齒輪的4號齒到7號齒承受50.14% 的負載T1;當負載T2 為618N·m時,擺線齒輪的4號齒到8號齒承受57% 的負載T2;當負載T3 為1030N·m 時,擺線齒輪的4號齒到9號齒承受62.1% 的負載T3;當負載T4 為2060N·m 時,擺線齒輪的4 號齒到10號齒承受66.02% 的負載 T4。這說明擺線齒輪拐點附近承受著大部分負載,約35% 參與嚙合齒數承擔著58% 的負載。同時說明隨著負載的增大,擺線齒輪拐點附近的齒所承受的負載比例也在逐步增加,但隨著負載的增大,接觸齒所承受的負載比例η的變化趨勢逐漸緩慢,如圖9 所示。

當負載為412N·m 時,選定5號齒,對其進行齒寬方向的應力計算,仿真結果如圖10所示。90% 的齒寬整體應力分布均勻,但是兩邊各有5% 的齒寬出現了接觸應力凸起。由于擺線齒輪和針齒在齒寬方向上沒有進行修形(即修緣量 δa =0),所以擺線齒輪的齒寬方向會出現明顯的邊緣接觸現象,而且隨著負載的增大,其邊緣接觸現象逐漸加劇。這從理論上解釋了擺線齒輪齒寬方向兩邊容易出現疲勞剝落的現象。

如圖11所示,同樣地,隨著載荷的增大,5號齒的齒寬方向上接觸寬度隨之增大。擺線齒輪兩邊均有明顯的接觸寬度凸起,而齒寬中部接觸區域的接觸寬度相對均勻。

為直觀地查看接觸應力的變化,將負載為412N·m 情況下的接觸應力分布轉化為三維,如圖12所示。

接觸寬度的零點位置在x =0的截面上,處于接觸區域的中間,接觸寬度的零點對應分布接觸應力的最高值。這個截面上的應力分布如圖10所示,兩旁的應力分布符合式(13)。由于針齒未修形,因此齒寬兩邊的接觸寬度aj 沒有明顯的閉合趨勢,反而隨著載荷的增大,兩邊的接觸寬度 aj 有增大趨勢。在指定載荷下,如果修形量適當增大,齒寬兩邊的接觸寬度aj 會產生閉合,以減少齒面兩端的應力集中;若修形量過大,雖然齒寬兩邊的接觸寬度aj 閉合,但會導致接觸區域減小,繼而使得齒寬中部的接觸應力過大,并加速齒面疲勞。修形量應根據實際工況及安裝誤差等條件選取。
當負載為412N·m時,對針齒進行齒寬方向的修緣:偏載系數kb 取1.5,修緣量δa的最大值為 1.5μm,其針齒齒寬方向的齒廓如圖13所示。

5號齒的齒寬方向三維接觸應力分布如圖14 所示。擺線齒輪無齒向修緣,針齒齒寬方向修緣后,擺線齒輪齒寬中部的接觸應力分布基本不變,擺線齒輪兩邊的接觸應力從急劇增大變為緩慢平滑減小,邊緣接觸現象消失,有助于緩解擺線齒輪的接觸應力集中,從而延長齒面壽命。

當負載為412N·m 時,擺線齒輪無齒向修緣,針齒齒寬方向未修緣,擺線齒輪沿著軸向方向傾斜0.01°,5號齒的齒寬方向接觸應力分布如圖 15~ 圖17所示。

由圖15~ 圖17可以看出,齒寬的接觸應力分布沿著偏載方向加劇,不再是圖10所示的齒寬中部的接觸應力緩和均勻分布。齒寬兩邊都存在邊緣接觸現象,但是右邊的邊緣接觸現象比左邊的邊緣接觸現象嚴重。左邊的接觸寬度小,所對應的接觸應力小;右邊的接觸寬度大,所對應的接觸應力也大,末端有急劇增大的趨勢,偏載加速了偏載端面的齒面疲勞。
當負載為412N·m 時,擺線齒輪無齒向修緣,對針齒齒寬方向進行修緣,偏載系數kb 取 1.5,修緣量δa 的最大值為1.5μm,其針齒齒寬方向的齒廓如圖13所示。擺線齒輪沿著軸向方向傾斜0.01°,5號齒的齒寬方向接觸應力分布如圖 18~ 圖20所示。

由圖18~ 圖20可以看出,當擺線齒輪沿著軸向方向傾斜0.01°時,擺線齒輪無齒向修緣,針齒修緣后,雖然擺線齒輪齒寬方向的接觸長度隨之減小,但是擺線齒輪兩邊的邊緣接觸現象消失。接觸區域的寬度aj分布較修緣之前的寬度分布變得更加均勻,在接觸區域的左邊,接觸寬度 aj沿著偏載方向從零逐漸增大,在接觸區域的右邊沒有產生閉合,但是接觸寬度aj有減小的趨勢。擺線齒輪齒寬接觸應力分布沿著偏載方向緩和過渡,在一定程度上延長了擺線齒輪的齒面壽命,這說明針齒修緣對擺線齒輪的安裝偏差有一定的適應性。
五、加載試驗
為盡量減小不合格參數對 RV 減速機加載試驗結果的影響,在加載之前測試 RV 減速機的綜合性能,使得被測的 RV 減速機性能滿足表4所示的標準。

本次試驗采用的 RV 減速機如圖 21 所示。加載用的試驗臺如圖22所示,采用連續加載的方式對 RV 減速機進行試驗。

在鑄鐵平板上安裝試驗臺架,將被測減速機安裝在豎直的臺架平板上,電機安裝在平板的另外一 端,通過輸入齒輪將動力傳遞給行星齒輪。安裝好后,將加載桿通過測試工裝、螺釘與減速機輸出行星架上的螺紋孔連接,最后在加載桿上添加負載,通過旁邊的控制臺控制電機的運行。
將被測 RV 減速機裝入試驗臺后,在 RV 減速機輸出端施加615N·m 的負載,經過超額的加載時間跑合后,擺線齒輪部分齒的齒面出現接觸痕跡,并非擺線齒輪的一半齒數參與接觸,出現這種現象的原因在于加載后發生了彈性變形,以及側隙的作用下只有少數齒參與接觸嚙合。
在本次試驗中,被測 RV 減速機中的擺線齒輪齒面上有13處接觸痕跡,而有5處痕跡尤其明顯,這5處集中在齒面拐點附近,越遠離拐點的齒號,其受力會逐漸減小,接觸痕跡也會逐漸減輕。這說明被測擺線齒輪中靠近齒廓拐點的部分齒承擔大部分負載。取靠近拐點處的5號齒,在接觸痕跡涂抹紅印,采集后的印痕如圖23所示,齒寬方向的接觸痕跡往偏載方向逐漸擴大,試驗結果與仿真結果的趨勢一致,較為吻合。

圖23 接觸印痕
被測 RV 減速機在超載及超額的加載時間跑合后,齒面不可避免地會出現磨損。仿真的接觸寬度所在區域小,而實際的磨損區域大,主要是因為實際接觸區域旁邊存在接觸應力輻射區,經長期運行后,磨損區域逐步擴大;此外,在實際運行中減速機內部擺線齒輪的偏載角度存在偏差。
經超載超額時間跑合的 RV 減速機中的兩片擺線齒輪均發生磨損,擺線齒輪齒面磨損的趨勢基本一致,但是靠近輸出端的擺線齒輪齒面磨損痕跡相對明顯,出現這樣的情況主要是因為:存在一定的傾斜角度下,靠近輸出端的擺線齒輪的齒面干涉量較大,偏載更為嚴重。
六、結論
(1)計及擺線齒面彈性變形及側隙計算了特定載荷下擺線齒輪齒面的有效接觸區域及其分布力。隨著負載的逐漸增大,參與齒數隨之增加,但是參與嚙合的各個齒所受力的波動程度也逐漸加劇。
(2)在同一位置,隨著負載的逐漸增大,受力曲線左右兩側的斜率越來越大,極值點的縱坐標逐步增大,而極值點的橫坐標基本集中在5號齒,該位置處于擺線齒輪的拐點附近,擺線齒輪拐點附近承受著大部分負載。從齒廓拐點附近開始,越往齒頂的方向,齒部接觸力越小,且這部分接觸齒所承受的負載比例很小。
(3)在同一位置,隨著負載的增大,擺線齒輪拐點附近的齒所承受的負載比例也在逐步增加,但隨著負載的增大,負載比例變化趨勢逐漸緩慢。
(4)利用力平衡方程和變形協調方程建立擺線齒輪齒寬方向的接觸應力數學模型,給出了其求解步驟及計算流程圖,該方法可以分析不同載荷、安裝誤差及修緣量下擺線齒輪周向及軸向的接觸應力分布及接觸寬度分布。
(5)通過試驗和仿真驗證了該數值分析方法的可行性和正確性。通過該方法計算擺線齒輪的有效嚙合區域、分布力及齒寬接觸應力分布,可為產品的設計及強度評價提供理論依據。
參考文獻略.
