目前,電動汽車的傳動系統主要有電機集中驅動、輪邊電機驅動、輪轂電機驅動三種形式,但無論采用何種結構形式,都體現為由齒輪、軸、軸承等多構件組成的復雜機械系統。然而,復雜的路況和電機高轉速范圍作用下呈現的動態載荷環境可能使傳動構件發生點蝕、斷裂等破壞形式。正是這些表現為高周和超高周疲勞的失效破壞,限制了電動汽車傳動構件壽命和系統可靠性。作為傳動系統主要零件之一的齒輪其疲勞失效占據了傳動系統的60%,因此研究電動汽車減速器齒輪疲勞壽命具有重要意義。
由于電動汽車與傳統燃油汽車激勵源的改變,使得二者的工作特性產生了較大差異。相對于傳統汽車而言,電動汽車研發和應用處于初級階段,其道路載荷試驗不夠充分,在獲取電動汽車傳動系統載荷譜時,主要基于特定行駛循環工況,通過整車動力學模型仿真的方法,獲取傳動系統載荷譜。本文通過動態模型在循環工況下得到電機的動態轉矩,將此轉矩作為齒輪對的驅動轉矩,通過計算得到接觸應力譜,并將其進行循環計算,最后通過名義應力法預測了減速器齒輪的疲勞壽命。
一、循環工況下電機動態仿真
減速器受載分析:電動汽車傳動系統齒輪載荷可通過驅動電機輸出的動態轉矩計算得到,然而電機輸出的動態轉矩跟汽車行駛阻力相關,因此需對汽車行駛過程中驅動力與行駛阻力進行研究。
汽車行駛過程中,車輪受到驅動電機傳遞的力矩,力矩又對地面產生力的作用,地面反過來對車輪產生驅動力 Ft,驅動力與減速器輸入轉矩關系如下:
式中:Ttq表示輸入轉矩;ig 表示傳動比;i0 表示主傳動比;ηT 表示效率;r表示半徑。
汽車在行駛過程中,會受到滾動阻力,空氣阻力,加速阻力以及坡度阻力,這些阻力構成了汽車的行駛阻力, 如(2)式:
式中,Ff 為滾動阻力;Fw 為空氣阻力;Fi 為坡度阻力;Fj 為加速阻力。
汽車行駛過程中,汽車行駛阻力和驅動力可以看成是作用力與反作用力,因此可以得到:
電機轉子上的負載轉矩TL 為:

工況分析:目前電動汽車的行駛速度主要采用的是特定行駛循環工況下的車速。當前國內外針對電動汽車開發的整車測試循環工況較少,當前,國外汽車領域使用的有美國的 UDDS 電動汽車城市道路循環工況與新歐洲標準行駛循環 NEDC。國內的大型車企也有自己的整車測試循環工況,但是這些數據都是企業核心數據,不對外公開?,F國內機構公開發布的循環工況是中國輕型車測試循環工況(CLTC)。鑒于電動汽車實際使用工況和一些硬件設施的安裝,致使目前電動汽車主要還是在市區工作,因此本文選擇美國的 UDDS循環工況,UDDS瞬時工況的車速時間歷程如圖1所示。

圖1 UDDS循環行駛工況
模型仿真:本文利用MATLAB/Simulink軟件搭建電機矢量控制模型,由于該軟件提供了很多功能模塊,使得搭建永磁同步電機動態仿真模型變得更容易。永磁同步電機主要參數見表1。電機負載轉矩根據公式(4)計算得到,采用 UDDS工況,仿真得到如圖2所示的電機動態電磁轉矩。

試驗驗證:為了驗證仿真計算結果的準確性,以某款純電動汽車進行實車載荷數據采集,道路工況選擇市區常規路面。為了得到電動機輸出的轉矩和轉速信號,需對電動汽車 CAN 信號進行采集。本文利用 USBCAN-OBD分析儀對電動汽車轉矩與轉速信號進行采集。USBCAN-OBD 分析儀具有1個雙色指示燈(SYS)用來指示設備的運行狀態,當 USBCAN-OBD分析儀上電后,SYS燈點亮且處于紅色, 表示設備供電正常,且處于初始化狀態;當電腦識別到 USBCAN設備后會自動加載其驅動,加載完畢后指示燈會變成綠色。USB接口連接正常后,軟件打開設備后,SYS燈會閃,但是速度很慢,當 USB在實時傳輸數據時,信號指示 燈SYS同樣會閃爍,但比打開設備后的閃爍速度快。
USBCAN-OBD分析儀的 CAN 端采用標準 OBDII接口,可以直接插到汽車的 OBD 接口上,利用USBCAN-OBD分析儀配套的ECANTools 軟件快速收發 CAN 總線數據。
利用 ECANTools軟件接收電機轉速、電機轉矩、冷卻水溫度、累計里程等總線數據,根據采集方案采集了電動汽車電機轉速與轉矩,其中轉速如圖3所示。

圖3 實測電機輸出轉速
根據實車采集的轉速作為永磁同步電機動態仿真模型的輸入計算得到仿真轉矩,并將仿真得到的轉矩與實測得到的轉矩進行對比,對比圖如圖4所示。

圖4 電機輸出轉矩
從圖4可以看出:在相同電機轉速下,兩轉矩曲線重合度非常高,幾乎完全重合,因此從側面證明了電機動態仿真模型的合理性,以及仿真結果的準確性。
二、動態載荷時間歷程及循環計數
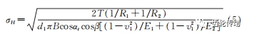
接觸應力譜:齒輪工作過程中,斜齒輪齒面最大接觸應力σH 發生在小齒輪上,接觸疲勞危險位置通常首先出現在節線附近的單齒嚙合區, 故取節點處作為輪齒接觸疲勞危險位置。根據 Hertz接觸理論,接觸應力計算公式如下,齒輪參數見表2。

式中:T表示主動輪轉矩;B 表示齒寬;d表示主動輪分度圓直徑;αt 表示法向壓力角;β表示螺旋角;E1、E2 表示彈性模量;v1、v2 為泊松比;曲率半徑R1、R2 根據下式計算:
式中,rb1、rb2表示兩齒輪的基圓半徑,α為兩齒輪的嚙合角。
表2 齒輪主要參數

將仿真得到的驅動電機動態轉矩代入式(5),計算得到循環工況下電動汽車減速器主動齒輪接觸應力譜,如圖 5所示。

圖5 齒輪接觸應力譜
循環計數:雨流計數主要針對連續載荷歷程進行載荷循環計數,然 而在齒輪旋轉過程中,兩個齒輪始終處于嚙合狀態,但是對于單個齒卻處于分離、嚙合、分離、嚙合的狀態。換言之,單個齒上的載荷是非連續的,這也意味著齒載荷為脈動循環載荷,即單齒所受到的應力是從0到最大再到0的過程,單個齒上的載荷是非連續的,因此齒載荷不能使用傳統的雨流計數法進行計數。鑒于齒輪在工作中的實際情況,本文采用旋轉雨流計數法對齒輪進行循環計數,計數結果如圖6所示。

圖6 旋轉雨流計數結果
三、疲勞計算
疲勞計算方法:名義應力方法最適合高周疲勞壽命校核,齒輪作為汽車減速器內部長期使用的關鍵零件,其疲勞失效形式在用戶常規使用工況下屬于高周疲勞,因此,本文采用名義應力法來研究減速器齒輪疲勞壽命。
基于有限元的齒輪接觸疲勞計算:目前,減速器齒輪作為旋轉零件,其疲勞壽命除采用試驗和理論計算外,基于有限元法的分析也得到了廣泛使用,特別是在減速器設計階段,該階段通常根據減速器設計耐久使用工況,基于整車行駛參數,運用汽車行駛動力學方程與驅動系統參數匹配仿真的方式,計算出減速器齒輪在設計工況下承受的轉速與轉矩,然后通過有限元軟件對減速器齒輪疲勞壽命進行分析。
本文研究的電動汽車減速器采用兩級斜齒輪傳動,由于輸入級齒對與輸出級齒對在預測疲勞壽命時方法一樣,且輸入級作為高速級,故本文以輸入級齒對進行建模分析。根據齒輪參數在Solidworks中建立減速器齒輪對模型,將模型進行簡化處理后導入ANSYS/Workbench中,按照ANSYS數值模擬分析流程對齒輪對進行分析,其中,在施加約束與載荷時利用 ANSYS/Workbench瞬態分析模塊對主從動齒輪內徑圓面添加轉動副,并在主動齒輪上施加轉矩,在從動齒輪上施加轉角,最后得到齒輪對的應力云圖,如圖7所示。

圖7 應力云圖
從圖7可知:在加載轉矩下得到的最大接觸應力值為 637.38MPa,其值小于本文斜齒輪20CrMnTi材料的屈服強度835MPa,滿足靜強度要求。因此其主要失效模式應為疲勞破壞。根據 nCode/DesignLife計算疲勞壽命的分析流程,分別將 UDDS循環工況下得到的載荷時間歷程、S-N 曲線(通過參數設置,軟件自動生成的 S-N 曲線)以及有限元分析結果所對應的模塊拖入到nCode/DesignLife軟件工作區域,并將各個模塊的輸入輸出端口進行連接,然后對 UDDS循環工況下的減速器齒輪進行有限元疲勞壽命計算,計算結果見表3所示,壽命云圖如圖8所示。

圖8 UDDS循環工況減速器齒輪疲勞壽命云圖
表3 UDDS循環工況減速器齒輪疲勞壽命預測結果

由疲勞壽命計算結果(表3)可知,基于 UDDS循環工況計算得到的齒輪疲勞壽命最小值為3.744×104,加之 UDDS行駛里程為11.99公里,根據壽命里程公式即可計算得到電動汽車減速器齒輪受到3.744×104 個 UDDS循環工況后發生接觸疲勞破壞時對應的汽車行駛里程為 44.89萬公里。
參考文獻略.
