弧齒錐齒輪是現代機械傳動領域中的關鍵零件,在弧齒錐齒輪制造過程中,因機床誤差、熱變形等不可控因素,使輪齒的實際齒面偏離理論齒面,也使得基于理論齒面進行的 TCA(齒面接觸分析)、LTCA(加載齒面接觸分析)的分析結果失去意義。為了調整齒面形狀,消除齒面偏差帶來的影響,傳統上使用比例修正的方法,這種方法對于操作人員的經驗要求較高。現在多使用齒輪測量中心來獲取齒面偏差,通過對加工參數的修正來實現對齒面幾何精度的控制。
針對齒面形狀控制的研究,李麗霞研究了機床調整誤差對弧齒錐齒輪齒面幾何精度的影響規律,建立了機床調整誤差補償的數學模型;曹康對螺旋錐齒輪機床調整參數的誤差敏感性和齒面誤差反調修正進行了研究;王志永針對機床誤差對螺旋錐齒輪齒形的影響規律進行了研究,并通過實驗驗證了分析結果的正確性;田程等通過結合機床調整參數的敏感度系數向量與實際測量齒面誤差向量的相關性,對齒面誤差進行了優化。聶少武等通過用二階曲面近似表達齒面拓撲偏差,將齒面拓撲修形分解成 5 個方向,并建立了對應的修正數學模型,反求出了修形齒面的小輪加工參數;李天興等分析了齒輪齒面齒形誤差及其影響因素,建立了機床參數與齒面齒形誤差的對應關系。李其明等在機床調整參數靈敏度分析的基礎上,對齒形誤差修正方法進行了研究,分析了機床調整參數對齒形誤差的影響。張宇研究了螺旋運動及刀具參數對雙重螺旋法加工齒面特征的影響規律;宋碧蕓等人基于齒面幾何誤差控制模型對加工參數進行了敏感性分析,利用改進的 L-M 方法求出了加工參數補償量。張彤研究了變性法和刀傾法小輪的各項機床加工參數誤差對齒形誤差的影響規律。
目前國內企業研制的數控弧齒錐齒輪加工機床都具備高階運動功能,包括滾比修正、螺旋運動修正、垂直運動修正等。但因缺少成套的計算軟件,在實際切齒計算時最多用到三階滾比修正系數,不能發揮出數控機床的萬能運動特性。同時,在對輪齒齒面形狀進行調整時,雖然利用齒輪測量中心測量出了輪齒的齒面偏差,但是并不清楚高階滾比修正系數對齒面拓撲形狀的影響規律。現有文獻中均未對高階滾比修正系數對弧齒錐齒輪齒面形狀的影響進行深入研究。
論文針對上述情況,構建包含高階滾比修正系數的齒面數學模型,探究高階滾比修正系數對弧齒錐齒輪齒面形狀的影響規律,為弧齒錐齒輪實際加工過程中的齒面調整提供理論依據。
一、齒面數學建模
基于齒輪嚙合原理和矢量運算方法,根據刀具和齒坯的相對運動和相對位置關系,建立齒面數學模型。以左旋齒輪為例,左旋齒輪在機床調整位置時的情況如圖 1 所示。

在坐標系 σ = {O;i;j;k}中,O 是機床的中心,i、 j、k 分別為坐標軸正方向的單位矢量。i - j 平面是機床平面,k 的正方向指向搖臺體內。Oc 為刀尖平面與刀盤軸線的交點,O1 為設計時的交叉點。b 為刀盤軸線在機床平面內的投影。c 為刀盤軸線的單位矢量。Em 為垂直輪位,S 為徑向刀位,q 為角向刀位,矢量 p 為工件的軸線,XB 為床位,Xp 為水平輪位修正量,δM 為輪坯安裝角。這些參數可以通過弧齒錐齒輪加工計算軟件計算得到,或者由機床的實際加工調整參數得到。
刀具切削刃由兩部分組成,其中直線段切削刃生成輪齒的工作齒面,圓弧部分生成輪齒的齒根過渡圓角部分,因測量齒形偏差時設置了收縮量,齒根過渡圓角部分一般都不在檢測范圍內,以下只考慮直線段切削刃及其生成的工作齒面。
切削刃上任一點 M 的坐標,即切削刃的矢量方程 rc 為:
式中,r0 為刀尖頂點的矢量方程,s1 為切削刃上任一點M到刀尖頂點M0的距離,t1 為母線M0M方向上的單位矢量。
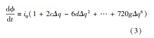
被加工齒面與刀盤的切削面是共軛曲面,根據產形輪與齒輪之間的相對運動關系,引入高階滾比修正系數,此時:
工件的角速度為:

上式中,i0 為滾比,Δq 為搖臺角改變量,2c、6d、24e、120f、720g 分別為二階至六階的滾比修正系數。
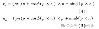
由齒面嚙合方程可求得齒面上的點和 M 點共軛接觸時的 q、θ 以及工件轉角 ?。進而可求得工件齒面上的點以 O1為原點的徑矢 rw 及其法矢 nw:

二、齒面離散點參數的計算
計算理論齒面離散點空間坐標及其法矢是進行齒面誤差測量和齒面形狀分析的前提條件,同時也是實現弧齒錐齒輪數字化制造的關鍵環節之一。為了實現齒面的精密測量以及計算理論齒面與實際齒面之間的誤差,需要對齒面進行離散化處理,即在弧齒錐齒輪理論齒面的旋轉投影面上規劃一定的測量網格。
為了反映齒面的形狀特征,一般在齒高方向取 5 行,在齒長方向取 9 列,共 計 45 個離散點,如圖 2 所示。根據美國齒輪標準,在齒寬方向,大端和小端各收縮齒面寬的 10%,在齒廓方向,齒頂和齒根各收縮全齒高的 5% 且不能小于 0.6 mm。收縮后的齒面各邊界應與收縮前的齒面各邊界平行,并根據網格點的數量將齒面各邊界等距均分。在圖 2 所示的坐標系下,可以計算出各離散點在以交叉點 O1 為原點的坐標系中的坐標值(x(i,j),y(i,j)),其中 i = 1~9,j = 1~5。

如圖 2 所示,設齒面上的 M 點沿齒輪軸線 p 到 O1 的距離為 x,到齒輪軸線 p 的距離為 y,則有:
式中的 x、y 是 q 和 θ 的函數,給定了 q 和 θ 的值,再根據式(4)和式(5)就能求得 x、y 的值。如果給定了齒面上離散點的坐標值,就可以利用二元迭代的方法求解其對應的 q 和 θ,隨后再利用式(2)、式 (3) 進而求得理論齒面上對應每一個離散點的徑矢 rw 和法矢 nw,此后再經過一次坐標變化,即可將其轉換到測量坐標系中。利用三坐標測量機或者齒輪測量中心就可以根據齒面離散點的空間坐標和法矢進行實際齒面齒形誤差的測量。
三、齒形改變量的計算
根據齒輪切齒加工的刀具參數和機床調整參數,運用上文所建立的齒面數學模型,可以得到理論齒面上各個離散點所對應的徑矢 rw 和法矢 nw 。此外,設定一組包含誤差的刀具參數和機床調整參數,即可求得誤差齒面上的各個離散點對應的徑矢 rw ′ 和法矢 nw ′。將理論加工參數對應的齒面定義為理論齒面,將改變后的加工參數對應的齒面定義為實際齒面,如圖 3 所示。

改變機床調整參數后,實際齒面會偏離原始齒面,為了對比實際齒面相對于理論齒面的變化和分析齒面誤差,需將實際齒面旋轉,使齒面網格中點 M′ 與理論齒面中點 M 重合,設旋轉的角度為 θ。旋轉后理論齒面上任意一點到實際齒面上對應該點之間法線方向的偏差就是該點的誤差值。齒輪測量中心在測量弧齒錐齒輪時,以齒面的中點為參考點,以“S”形逐點移動進行測量。再通過軟件的處理,就得到了齒面上各個網格點對應的齒面誤差,以此就能繪制出齒面誤差拓撲圖。
以工廠實際生產的某弧齒錐齒輪小輪為例(采用雙重螺旋法加工),分析各階滾比修正系數對齒面形狀的影響規律。齒輪副的參數如表 1 所示,加工輪齒的機床調整參數和刀具參數如表 2 所示。收縮量設置為:小端收縮量 1.5 mm,大端收縮量 2.5 mm,齒頂收縮量 1 mm,齒根收縮量 1.7 mm。

為了分析各高階滾比修正系數對齒面形狀的影響規律,假定二階至六階滾比修正系數的改變量依次為:+0.02、+0.2、+2、+20、+200。利用 VB 編制齒形分析軟件,對每個改變量進行齒形誤差計算并繪制齒面誤差改變拓撲圖。
計算分析結果如圖 4 所示,圖中粗實線表示理論齒面,細實線表示理論齒面低于實際齒面,細虛線表示理論齒面高于實際齒面,在齒輪凹凸兩面的 4 個角點標有實際齒面在該點處相對于理論齒面的齒形誤差值,誤差值單位為 μm。

四、滾比修正系數對齒面形狀的影響規律
在實際加工弧齒錐齒輪時,工作人員通過齒輪測量中心測量齒面誤差或者進行滾檢觀察齒面接觸區,再通過改變機床調整參數對輪齒的齒面幾何形狀,齒輪副接觸區的大小、位置和方向進行調整。不同的機床調整參數對齒面形狀的影響程度不同,根據齒面的形狀,將誤差齒面表示為二階曲面的形式,將齒面誤差對各階滾比修正系數的變化趨勢分解為 5 個誤差敏感系數。圖 5 為齒面誤差二階曲面,圖中原點與齒面網格中點重合,齒長方向為X,齒高方向為 Y,Z 為齒面形狀誤差,用二階曲面近似的表達齒面形狀誤差拓撲圖,其表達式為:
式中,a1 為螺旋角誤差敏感系數,a2 為壓力角誤差敏感系數,a3 為齒面撓率誤差敏感系數,a4 為齒長曲率誤差敏感系數;a5 為齒高曲率誤差敏感系數。一階系數 a1 、a2 是對齒面傾斜角度的表達,二階系數 a3 、a4 、a5 是對誤差齒面彎曲程度的表達。

將齒面網格上任意一點的齒面誤差用矩陣表示為:

式中,Z 為各個離散點的齒形誤差,矩陣 S 為誤差矩陣,其數值由離散點的坐標確定,詳細推導過程參考文獻。每改變一項機床調整參數,與之對應的齒面形狀誤差 Z 也會隨之發生改變,根據計算出的離散點坐標,可求得每個機床調整參數對應的誤差敏感系數。式(9)為超靜定方程組,利用最小二乘法可求得其最小二乘解,即:
以上述齒輪副為例,計算小輪在各高階滾比修正系數改變下齒面形狀誤差對應的誤差敏感系數。計算結果如表 3、表 4 所示。

誤差敏感系數越大,則與之對應的高階滾比修正系數改變量對齒面形狀的影響越大,結合圖 3 對表 3、表 4 的計算結果進行分析可知:
1)高階滾比修正系數對齒形的影響主要作用在凹面小端的齒頂和凸面大端的齒頂,對齒面中部和齒根的影響較小。
2)輪齒凹面,在齒面傾斜角度方面,各階滾比修正系數對壓力角與螺旋角的影響程度大致相同;在齒面彎曲程度方面,一階滾比修正對齒面撓率的影響較大,對齒高方向曲率影響最小;二階滾比修正系數對齒長方向曲率影響最大,對齒面撓率影響最小;三階到六階滾比修正系數均對齒長方向曲率影響最大,對齒高方向曲率影響最小。
3)在輪齒凸面,在齒面傾斜角度方面,二階到四階滾比修正系數對壓力角的影響均略大于對螺旋角的影響,五階、六階滾比修正系數對壓力角的影響遠大于對螺旋角的影響;在齒面彎曲程度方面,二階到六階滾比修正系數均對齒面撓率的影響最大,對齒長方向的曲率影響最小。
4)齒輪大端的凹凸兩面變化趨勢大致相同,而小端則是二階、四階、六階變化趨勢相同,凹面實際齒面低于理論齒面,凸面實際齒面高于理論齒面;三階、五階變化趨勢相同,凹面實際齒面高于理論齒面,凸面實際齒面低于理論齒面。
為了驗證論文的正確性,在H350GH 數控螺旋錐齒輪磨齒機上,根據各階滾比修正系數的改變量進行了磨削試驗,如圖 6 所示。并利用齒輪測量中心對齒形誤差進行了檢測,如圖 7 所示。檢測得到的齒面誤差拓撲圖的齒面形狀變化趨勢、各點對應的齒面誤差值和本文分析得到的結果基本一致,細微的差別是由于隨機誤差與測量誤差造成的。因篇幅所限,論文僅列出滾比修正二階系數改變+ 0.02 時的檢測結果,如圖 8 所示。

五、結束語
建立了引入高階滾比修正系數的弧齒錐齒輪齒面數學模型,開發了齒形誤差分析軟件,借助二階曲面對齒面誤差的近似表達,分析了高階滾比修正系數的改變對輪齒齒形的影響規律,為弧齒錐齒輪實際加工過程中機床功能的合理運用、齒形調整、齒面接觸區的調整和齒形誤差的修正提供了理論依據。
